摘要:随着煤矿开采深度的不断增加,将面临高承压水的严重威胁,带压开采已成为深部煤炭资源开发的主要开采方式,与此相适应,带压开采安全评价工作显得尤为重要。面对深部煤炭资源开采中带压开采评价技术的挑战,应该在完善双系数(突水系数和带压系数)评价体系的基础上,在带压安全开采可靠性分析、三维地质建模技术及其可视化、数据仓库及数据挖掘技术与突水规则的知识获取等方面发展带压开采安全评价技术,以期实现在奥灰高承压水威胁下安全采煤和避免淹井事故发生的目标。
关键词:带压开采;承压水;安全评价;可靠性分析;可视化;数据挖掘;知识获取
煤炭是我国今后相当长一段时期内主要的、不可替代的能源,大力发展煤炭工业,实施科技兴煤战略是煤炭工业可持续发展的根本所在。目前,煤矿安全严重地制约着能源工业的发展,成为其发展的“瓶颈”问题。当务之急,做好煤矿安全评价工作、基本杜绝恶性灾害性事故成为煤矿安全生产中的一项首要任务。
安全评价就是从系统工程的观点出发,对煤矿生产中潜在的危险进行预先识别、分析和评估,为制定基本的防灾、减灾措施提供科学依据。近年来,随着以人为本管理理念的建立,逐渐确立了安全评价在生产中的重要地位,从而促进了安全技术的发展和完善。中国社会对于安全工作的重视程度达到了前所未有的高度,主要体现在以下方面:①国家安全生产监督管理局升格为国家安全生产监督管理总局;成立中国安全生产科学研究院(简称“安科院”);开办中国安全网专业网站;从2005年6月1日开始受理注册安全工程师执业资格的注册申请;②中国矿业大学(北京)开办资源与安全工程学院,下设安全工程系,计划将在不远的将来形成安全技术学科群;③直接以安全为主题的刊物多达3种,如《煤矿安全》、《矿业安全与环保》、《矿山压力与顶板管理》,其它矿业工程刊物上与各类安全工程相链接的文章更是不胜枚举。
1 带压开采及其安全评价
带(水)压开采(简称“带压开采”) 技术,是指当煤层底板隔水层承受较高水压时,在不进行或很少降低含水层水头压力的情况下,确定能否安全采煤的技术[1]。它是承压水体上安全采煤的一项实用性技术,与深降强排技术相比,具有减少吨煤排水费用和保护水资源的双重功效。通过与国内外同类技术对比后发现,带压开采属安全技术范畴,带压开采评价技术从一开始就引起人们的极大兴趣,这从对于其定量化分析的不断创新中已经得到了印证。自20世纪70年代后期以来,在淄博、焦作、井陉、峰峰等煤矿应用带压开采技术在解放受水害威胁的煤炭资源方面发挥了重要的作用。我国大多数矿区,尤其是华北型煤田东部各煤矿区,在面临浅部资源枯竭的条件下,为了实现各个能源基地的可持续发展,深部煤炭资源开发已经提到重要的议事日程上来,煤炭工业的发展和煤炭资源开发进入新的历史发展阶段。与此相适应,作为煤矿水害防治技术重要发展方向和深部煤炭资源技术支撑的带压开采评价技术面临新的发展机遇和严峻挑战。
目前,随着开采深度的不断增加和开采层位的逐渐下移,对带压开采安全评价问题没有统一和明确的规定,其原因是问题相对复杂,以前遇到的带压开采安全问题并不十分突出,在实际操作中,常常由水文地质工程师或采矿工程师在分析具体条件的基础上,参考类似矿区的经验,依照《矿井水文地质规程》所给定的临界突水系数做出判断。工程实践中,对新设计采区或工作面进行带压开采安全评价常常采用的方法是:整体安全评价采用突水系数法,工作面回采时,采用带压系数进行复核验证。随着对于煤层底板突水机理认识的逐渐深入、地质分析工作的不断深化以及物探技术方法的长足发展,可以给出需要加固处理的重点部位,从而建立起了目前为止较为完备的带压开采技术方法体系和工作思路,东庞煤矿9103工作面安全回采提供了这样一个成功的范例。
然而,由于众所周知的原因,依照突水系数法所得出的评价结果只能得出一个整体安全度,带压系数测试方法本身的缺陷,使得在审查其评价结果时,经常引来较大的争议,需要借助突水监测系统弥补评价方法上的某种不足。因此,带压开采的突水危险也就不言而喻地来自于这种安全评价的技术风险,在迫切需要解放受水害威胁的深部煤炭资源并且日益重视安全评价工作的今天,有必要探讨带压开采安全评价技术及其相关问题。
带压开采技术措施及其安全评价技术是带压开采技术密不可分的两个组成部分,二者的关系如图1所示。

图1 带压开采及其评价技术
实际上,带压开采安全评价技术(有时简称带压开采评价技术)贯穿于煤炭资源开采的各个阶段,随着对水情、水害认识和研究程度的不断深入,将逐渐修正前一阶段的评价成果,从而使评价工作逐步趋于完善。可以看出,对应不同的工作阶段,带压开采安全评价具有层次性和递进性的特点。
2带压开采技术的适用性问题
从广义上讲,只要在水压高出煤层以上的采掘环境中,煤炭开采均是带压的,只不过存在直接带压和间接带压的区别。以华北型煤田而言,下组煤开采奥陶系灰岩作为(直接)带压含水层已是不难理解,而山西组2#煤以奥陶系灰岩作为(间接)带压含水层已经为邢台东庞矿2903工作面突水所证实。
无论是从理论还是从已经成功实施带压开采的煤田来讲,带压开采的适用条件集中体现在以下两个方面:
(1)煤层底板没有全导入型通道,使得其在水压作用下具有整体稳定性,而不存在所谓的“突破口[2]”。“突破口”属于煤层底板中存在的固有岩体缺陷,影响矿井的充水性质。对于“突破口”的搜索有两种基本方法:一是通过物探方法,二是通过水文地质试验方法。带压开采实践中,对于全导入型通道一是通过留设安全防水煤柱采用绕避的方法,二是对其进行根治。
(2)煤层底板的岩性组合能够阻抗目标含水层在一个水文周期内(或者为了安全评价的需要,按历史最高水位考虑)最高水位所对应的水压。在其岩性组合已经确定的前提下,这种阻水能力主要取决于既有采矿方式下对煤层底板的破坏深度、目标含水层顶板实际埋藏深度(如华北型煤田奥陶系灰岩峰峰组由于古风化壳的存在,实际的含水层顶界有可能下移)以及灰岩水的实际潜升高度。
3 带压开采评价技术现状
带压开采评价技术主要包括如下四个方面:

图2 深部煤炭资源带压开采工作内容及技术路线
(1)岩溶水流动系统的研究与评价[3,4]
存在突水通道并非必然发生突水,只是在具有突水水源的矿区才有可能发生突水,突水通道与突水水源共同构成突水条件,二者缺一不可。因此,应从查清矿区岩溶含水层的富水性入手,分析和评价突水条件及突水可能性。最好以水文地质单元作为评价区,分析岩溶水系统流动特征、径流带的展布情况、井田位于径流带和排泄带的部位等。通过对含水介质水力联系和水动力条件的研究,建立一个符合客观实际的地下水流动系统模型。
(2) 直通式导水通道的探查与评价
对于已经圈定具有突水倾向性的井田,进一步的工作是对直通式导水通道做出探测和评价。按照发生突水的通道性质,煤层底板突水可分为两种类型,即通道型突水与渗透型突水,许学汉、王杰等人[3]将前者称为原生强渗通道,对于这种通道的探查与评价,奥灰岩溶水综合防治工业性试验[5]期间以焦作矿区作为试验点提出了垂向越导通道综合探测配套技术;以开滦矿区为例,形成了导水陷落柱井上、下综合立体探测技术,目前仍处于上述配套技术的试验验证和完善阶段;
(3)中、小型断层作为突水通道的探查与评价
与陷落柱作为导水通道的突水样本相比,断层作为导水通道则是大量的且具有代表性,一定规模的断层就可以成为沟通不同含水层之间水力联系的通道,对断层的水文地质评价首先应基于构造分析原理对不同级别和不同序次的断层进行构造解析,对断层展布特点做出分析并尽可能以采区、井田为单元做出构造预测,结合物探方法和井巷工程揭露情况进行探、预、采对照;其次,应探讨并评价断层发育方向和断层内部结构对突水的控制作用、断裂构造突水机制、断层的活化及其滞后突水现象等。目前,依托各类防治水项目,在上述方面已开展了一定的工作,但就这一问题应有的深度而言,差距仍然很大。
(4)节理裂隙型岩体突水条件探查与评价
对于节理裂隙型岩体而言,其突水类型为渗透型突水,即与矿压显现、承压水的水力扩容作用密切相关,这种类型的突水首先应在煤层底板岩体强度力学校核的基础上做出稳定性评价;其次,应采用底板突水监测技术对采掘过程中裂隙水的潜升过程做出动态观测和评价。
带压开采安全评价技术所形成的综合成果可以用如图2所示的评价体系及工作内容图示。
[NextPage]
4煤层底板岩体抗水压能力的岩体水力学模拟与校核
采矿条件下,煤层底板岩体的主要功能是承受工作状态下的矿山压力和下伏承压水压力。底板突水的实质在于岩体的抗渗阻力低于下伏承压水的渗流动力,岩体的抗渗透能力评价一方面在模拟原岩应力条件下,通过室内试验测试;另一方面通过井下原位水压致裂方法测试。
承压水与底板岩体相互作用而导致的失稳问题,包括地下水对岩体节理裂隙的水力扩容作用而导致的物理弱化效应以及岩体由于应力状态、结构面力学性质改变引起结构面(节理、裂隙)开度的变化,从而影响节理、裂隙岩体渗透性及水动力学条件的改变,渗流场与应力场的相互耦合作用是其重要特征,研究煤层底板突水机理属于岩体水力学研究范畴,这一问题的关键在于对原岩应力条件下底板岩体抗水压能力做出力学校核,其研究内容包括:(1)岩体数学—力学模型的系统分析;(2)岩体力学本构关系研究;(3)岩体应力场与渗流场耦合分析;(4)水力扩容机理的实验分析与模拟;(5)基于水力扩容机理的突水预测计算机仿真分析
5带压开采评价技术的发展方向
纵观带压开采评价技术研究现状,结合相关学科发展趋势,预计带压开采安全评价技术将会在如下方面取得进展:
5.1带压安全开采可靠性分析[6,7,8]
目前在带压开采评价中常用的方法均为定值法—突水系数法。突水系数法是经过长期实践证明的一种较为有效的评价方法,但这种方法的最大缺点是没有考虑实际存在的不确定性的影响。因此,在实际采煤中,按定值法算出的突水系数是足够的,而实际上却发生了突水,这正是不少矿床水文地质工作者对突水系数提出质疑的原因所在。
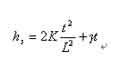
在承压水的作用下,保护层的失效模式主要是结构强度的失效,即由于保护层本身厚度不足、岩层组合梁的力学强度不够或上述两种因素同时存在的结果。理论上,由超静定梁所推导的安全水头计算公式可以作为可靠性分析的依据,即В.Д.斯列萨列夫安全水头计算公式:

式中: —t巷道底板岩层厚度(m); —L巷道底板宽度(m); —K巷道底板岩层抗张强度(t/m2 ); —巷道底板岩层容重( t/m3 ) 将岩体参数 、 看作随机变量,并假定其服从正态分布,如果岩层有 层,则共有 个随机变量,选用斯列萨列夫安全水头模型进行可靠度分析,引入可靠度评价函数对带压开采安全性做出可靠性分析,采用一般的“R—S” (荷载—抗力模式),则煤层底板保护层的极限状态方程为:

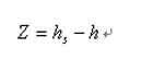
式中: —hs安全水头; —h实际水头; —Z安全余量(Safety Margin)
显然,当 时,带压开采处于可靠状态; 时,保护层失效。在计算随机变量偏导数、解算非线性方程组基础上,可求得可靠性指标 值,则失效概率由下式确定:

以失效概率表示的煤层底板突水状态,更接近于实际情况,避免了单纯依据阈值作为突水判据的某些不合理性,如以临界突水系数0.06MPa/m为例,当突水系数为0.061MPa/m发生突水,当突水系数为0.059MPa/m不发生突水,显然是不尽合理的。
5.2 三维地质建模技术及其可视化在带压开采安全评价中的应用[9,10]
三维地质建模及其可视化技术为带压开采安全评价掀开了崭新的一页,地质信息的三维可视化是指以适当的数据结构建立地质特征的数学模型,采用计算机图形技术将数学描述以3D真实感图像予以表现。三维可视化模型能够将所研究的实体以及物理过程形象直观地表达出来,因而三维可视化研究是地学界的一个重要研究课题。在矿井水文地质各项研究中,最重要的莫过于对矿井水文地质条件的正确认识,尤其是对于地下水流动系统的准确描述。令人遗憾的是绝大多数井田地下水位动态监测孔不但数量少,而且从整个井田范围来看,分布很不合理,地下水位监测网极不完善,水文地质条件的认识上存在诸多盲区。面对这一现状,首先应建立与完善井上、下地下水位动态监测网,在此基础上,利用三维可视化技术,直接感知井田地下水的运动规律及其动态特征,如降压漏斗的空间分布、研究区域任意钻孔及任意剖切显示、栅状图形显示、水害数据集成及链接等。可以断言,三维地质建模技术及其可视化在带压开采安全评价中的应用研究具有广阔的发展前景和巨大潜力。
5.3 数据仓库及数据挖掘技术与突水规则的知识获取
由于带压开采安全评价中涉及大量的数据,如钻孔结构、地质构造、水位等,传统数据库的处理方式与决策分析中的数据需求不对称,为满足带压开采安全评价和防治水决策分析的需要,要求在传统数据库的基础上产生适应决策分析的数据环境—数据仓库(DW, Data Warehouse)。
1989年8月,在第11届国际人工智能联合会议的专题研讨会上首次提出了基于数据库的知识发现(KDD, Knowledge Discovery in Database)技术[11],该技术涉及到机器学习、模式识别、统计学、智能数据库、知识获取、专家系统、科学计算可视化等领域。1995年,在美国计算机年会(ACM)上,提出了数据挖掘(DM, Data Mining)的概念,即通过从数据库中抽取隐含的、未知的、具有潜在价值信息的过程。
任何事故的发生都是有原因的,对事故的发生规律是可以认识的。如果将历年发生的事故资料通过定性和定量的分析,就可以找出引起事故的共性因素及其规律性,带压安全开采也不例外。带压开采过程中,所发生的煤层底板突水现象是受内在随机性作用规律支配的,井田在岩溶水径流系统中的位置、井田内岩溶发育程度、隔水层的阻水抗压能力、承压水的潜越高度在不同矿区具有各自不同的特点,实践中应以数据仓库及数据挖掘技术作为工具,从突水样本中完成自学习和他学习过程,从而实现带压开采安全评价工作质的飞跃。
6 结论
从以上分析中可以得出如下结论:
(1)随着煤炭资源开采的纵深化方向发展,将面临高承压水的严重威胁,深降强排由于增加吨煤排水费用并破坏日趋紧张的水资源,限制其进一步推广、应用,被认为是基本不符合我国国情的防治水方法。因此,带压开采已成为深部煤炭资源开发的技术依托而引起广泛关注。在煤炭工业发展新的历史阶段,对带压开采安全评价技术做出回顾和前瞻具有重要的意义。
(2)带压开采评价技术的基本工作思路为:在常规地质、水文地质条件分析的基础上,重视煤层底板保护层的“三测”(探测、预测、监测)工作,分析可能的突水类型(通道型突水与渗透型突水),针对不同的突水类型,采取相应的防治水对策(预注浆加固、底板改造、留设防水煤柱),即从查清突水条件开始到有效地进行预防和对不利的水文地质条件做人工改造处理等,最后达到能够在奥灰水的威胁下安全采煤和最大限度地减少矿井涌水量及避免淹井事故的发生。
(3)面对深部煤炭资源开采中带压开采评价技术的挑战,应该在完善双系数(突水系数和带压系数)技术的基础上,在带压安全开采可靠性分析、三维地质建模技术及其可视化、数据仓库及数据挖掘技术与突水规则的知识获取等方面发展带压开采安全评价技术。
主要参考文献:
1.靳德武,我国煤层底板突水问题的研究现状及展望[J],煤炭科学技术 2002:30(6):1~4
2.尚彦军,杨志法,刘英等,关于地质工程设计中突破口预测方法的研究[J],工程地质学报,1996,4(4):15~24
3.许学汉、王杰,煤矿突水预报研究[M],2~14,北京:地质出版社,1991年11月
4煤炭科学研究总院西安分院等,华北型煤矿奥灰水防治研究[M],267~275,西安:陕西人民出版社,1990年4月
5国家工业性试验项目:华北型煤田奥灰岩溶水综合防治工业性试验二期工程研究成果总报告[M],45~72,煤炭科学研究总院西安分院,1995 年10月
6 韩玉芳、刘德辅、董胜,边坡整体稳定的可靠性分析方法[J],海岸工程 2001,20(4):7~13
7 常方强、涂帆,加筋土挡墙的可靠性分析[J],工业建筑 2005,35(1):53~55
8 潘元伯 关于安全水头公式的推导 中国地质学会全国矿床水文地质学术讨论会论文选[M],183~187,北京:地质出版社,1988年6月
9 曹代勇、余志伟、赵扬等,数字矿山及其关键技术探讨[J],铜业工程,2005(1):10~12
10 王秋明、甘三才、胡瑞华等,三维地质建模技术及其在工程中的应用[J],人民长江,2005,36(3):60~62
11 邵峰晶,于忠清 编著 数据挖掘原理与算法[M],2~30,北京:中国水利水电出版社,2003年8月