四川成化安全咨询评估有限公司
安评知识
安评知识 您的位置:主页>安评知识>安评知识
偏二甲肼燃料库危险性评价方法研究
安全文化网 2009-05-26 返回列表

  [摘    要] 本文从物质危险性、工艺危险性入手,评价偏二甲肼燃料库重大事故可能发生的原因、条件及其危险性等级,通过此评价对航天领域易燃、易爆、有毒危险源的危险性评价方法进行了探讨。

  [关 键 词]  偏二甲肼燃料库 危险  事故  评价

  1  前言

  偏二甲肼是一种易燃、易爆、有毒且具有强吸附能力的无色有毒液体,广泛应用于航天领域。在介质突然泄漏、操作失控或发生自然灾害情况下,偏二甲肼燃料库存在火灾、爆炸、人员中毒等重大工业事故发生的危险性,当库存量超过20t时属重大危险源。上个世纪70年代,某单位因偏二甲肼泄漏发生重大火灾事故,引起了100多人中毒。所以,有必要对偏二甲肼库发生火灾、爆炸及人员中毒事故进行危险性评价,这对了解事故的危害性,预防和控制事故具有重要意义。

  2  偏二甲肼库危险性评价方法的选用及其数学模型的建立

  2.1 偏二甲肼库危险性评价方法的选用

  危险评价在现代企业安全管理中占有重要地位。原航天部下发的危险点评价方法,不能全面反映偏二甲肼库诸多危险因素影响,在危险性定量评价时,存在着较大的误差。因此,需要针对航天领域的特殊性,对类似偏二甲肼库这种易燃、易爆有毒重大危险源建立一种科学评价方法。目前,国内危险评价方法达十余种之多,各种方法都有其不同的适用性和局限性,许多尚处于探索推广应用阶段,对航天领域来说仅可作为参考。为了准确地评价偏二甲肼库可能造成的事故危害,宜采用易燃易爆有毒重大危险源评价方法,从偏二甲肼物质特性、库房工艺流程及安全管理等方面进行全面地定量评价。

  2.2. 偏二甲肼库危险性评价数学模型的建立

  偏二甲肼库危险性评价可分为固有危险性评价与现实危险性评价。固有危险性评价主要反映了偏二甲肼的固有特性、工艺过程的特点和库房内部、外部环境状况等。现实的危险性反映了人在控制事故发生及控制事故后果扩大方面的主观能动作用。

  根据安全工程学的一般原理,危险性定义为事故频率和事故后果严重程度的乘积,建立

 

  3  偏二甲肼库危险性评价

  采用上述的评价模型,对某偏二甲肼库进行评价,假设该库面积600m2,库内有2个100 m3圆柱形、卧式不锈钢容器,最多可存160t介质,下面以该库为例进行评价。

  3.1  偏二甲肼库事故易发性B11评价

  事故易发性B11包含物质事故易发性B111和工艺事故易发性B112两方面及其耦合。

  3.1.1  物质危险性B111评价

  偏二甲肼具有爆炸性及液体燃烧性的理化特性,故其物质危险性从这两方面考虑:

  a. 爆炸性:偏二甲肼易爆性1.4级,B111=45

  b. 液体燃烧性:偏二甲肼属于2级易燃液体,化学活泼性为1级,B111=61.2

  3.1.2  工艺危险性B112评价

  工艺危险性与偏二甲肼入库出库过程中操作方式、工作环境和工艺过程等21项因素有关,从这21种工艺影响因素中找出偏二甲肼库工艺过程实际存在的危险,物质事故易发性与工艺事故易发性之间存在相关性,二者耦合成为事故易发性B11

 

  3.2  偏二甲肼库的事故严重度B12评价

  偏二甲肼库最大的火灾爆炸风险是偏二甲肼容器的爆炸,其伤害模型有三种:(1)蒸气云爆炸;   (2)沸腾液体扩展为蒸气爆炸;(3)毒物泄漏扩散造成周边地区中毒伤害。三者可能同时发生,库房爆炸事故严重度应是三种严重度加权求和。采用TNT当量法,估计蒸气云爆炸的严重度,分别计算出蒸气云爆炸及沸腾液体扩展为蒸气爆炸引起的死亡半径、重伤半径、轻伤半径及破坏半径。计算出事故的严重度S=3536.235万元。

  3.3  固有危险性B1及危险性等级

  偏二甲肼库固有危险性为:B1=B11×B12=35599984.99

  危险性等级为:M=lg(B1/105)=lg(37367684.6/105)=2.55

  2.5<M<3.5属于二级重大危险源。

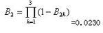
  3.4  抵消因子B2及单元控制等级估计

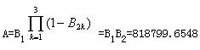
  尽管偏二甲肼库的固有危险性是由物质危险性和工艺危险性所决定的,但是工艺、设备、容器、建筑结构上各种用于防范和减轻事故后果的设施、危险岗位上操作人员良好的素质、严格的安全管理制度等能够大大抵消该危险场所的现实危险性。用A表示现实危险性的评价值,B1表示固有危险性的评价值,B21为工艺、设备、容器和建筑结构的抵消因子,B22为人员素质的抵消因子,B23为安全管理的抵消因子,则有:

 

  根据B2值,可知偏二甲肼库控制程度等级是C级。

  偏二甲肼库的危险等级是二级,而控制能力等级是C级。控制能力未能达到危险等级所要求的B级,说明该偏二甲肼库的安全措施和安全管理未达到较理想的状况。

   3.5  现实危险性A

  偏二甲肼库发生爆炸的现实危险性为:

 

  4  结论

  通过对偏二甲肼库建立评价数学模型进行全面评价,得出以下结论:(1)偏二甲肼库发生火灾爆炸事故是极小概率事件,但其后果是严重的。(2)偏二甲肼库的固有危险性很高,现实危险性仅为固有危险性的2.3%,可见,加强库房的科学管理,是可以预防与控制恶性事件发生。

  此评价方法,适用于航天领域类似易燃、易爆、有毒重大危险源评价。

【责任编辑:程华】
二维码
四川成化安全咨询评估有限公司 电话:028-86522278 86522212 传真:028-86522227 邮箱:chenghua_ap@163.com 地址:成都市青羊区上池北街2号农资大厦11楼
版权所有 © 四川成化安全咨询评估有限公司 all rights reserved    蜀ICP备14023622号-1    川公网安备 51010402000785号  XML地图