四川成化安全咨询评估有限公司
安评知识
安评知识 您的位置:主页>安评知识>安评知识
安全评价在钢铁企业的应用研究
安全文化网 2009-10-15 返回列表

    摘要:在钢铁企业有效应用安全评价,不但能够有效识别现场的危险因素,确定危险源,及时妥善地采取安全对策措施,还能够促进安全管理重心下移,实现逐级管理。更有利于消除现场人的不安全行为和物的不安全状态。

  关键词:安全评价 钢铁企业 过程控制 定量打分

  安全评价是利用系统工程方法对拟建或已有工程、系统可能存在的危险性及其可能产生的后果进行综合评价和预测,并根据可能导致的事故风险的大小。提出相应的安全对策措施,以达到工程、系统安全的过程。安全评价主要的评价和安作用在于可有效地预防事故发生,减少财产损失和人员伤害。安全评价与日常安全管理、安全监督检查工作不同,安全评价是从技术带来的负效应出发,分析、论证和评估由此产生的损失和伤害的可能性、影响范围、严重程度及应采取的对策措施等。

  当前,安全评价工作主要由从事安全服务的中介机构进行。从实际情况看,中介机构进行的安全评价往往多为安全预全验收评价,针对过程的安全现状评价相对缺乏。并且,由中介机构进行的安全评价主要是阐述和分析安全技术特点,对安全管理过程的缺陷论述较少。因此,钢铁企业有必要结合企业安全管理的特点,有效应用安全评价的思路,对本单位的安全管理工作进行以管理为主的安全评价。

  1钢铁企业提出安全评价的由来

  在2002年之前,某钢铁企业安全生产形势始终不稳定,事故总量居高不下。图l是该企业1993—2002年伤害事故数量的折线图。

 

  可以看到,该公司在2002年之前,伤害事故总数都在35起以上,总量比较高,并且多次出现反复。为解决安全管理不稳定的问题,该公司决定引入安全评价,开展具有企业特色的安全评价工作。2002年底到2003年初,该公司对安全评价进行了分析和策划,形成了方案。

  2钢铁企业安全评价体系的建立

  钢铁企业内部的安全评价,不能完全照抄照搬中介机构的做法,必须体现出自身的特点。因此,某钢铁企业建立了以现场动态控制为核心的评价体系。总的评价思路是:围绕现场控制状况,建立“安全受控程度”和“人员行为规范程度”2个指标,然后对指标的完成情况进行测评,通过定量打分,确定子公司和下属单位安全管理水平,并对他们在安全管理上存在的不足提出改进建议和要求。

  2.1安全受控程度

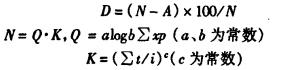
  M=H×0.4+S×O.4+E×0.2

  式中,M为现场安全受控程度,日为人员行为安全度,S为物的状态安全度,层为环境状态安全度。

  各单项安全度为评价抽查单元的平均数。例如,对人员行为评价抽查了8个单元,每个单元的得分分别是l0,9,8,7,6,5,4,3,则人员行为安全度这一项的得分就是上述8个数据的平均值(10+9+8+7+6+5+4+3)/8=6.5。

  2.2人员行为规范程度

 

  式中,A为违章项数,x为作业标准条款数,p为作业人数,t为作业时间,i为岗位数。

  a、b、c这3个常数,不同的钢铁企业可以根据自身的特殊情况进行取值。

  2.3评价抽样单元数量的确定

  根据受评单位的规模,该公司确定了针对不同单位的评价抽样单元,主要考虑人数、危险性、作业特点,其中以人数为主。表1是该公司确定抽样单元的参考表。

 

  人、物、环3个单元各种规模的单位抽样单元为一个范围,取值需要参考危险性和作业特点,比如危险性高的单位取上限,低的取下限。

  2.4评价程序

  (1)收集资料。需要收集的资料包括年度安全工作计划、安全管理制度、岗位作业标准、安全技术操作规程、设备使用维护规程、岗位分布、生产工艺情况、各类设备设施的明细及分布、历年事故台帐等。

  (2)制作安全检查表。通过对资料的分析,根据受评价单位的特点,选择确定评价抽样单元。然后从“人、物、环”3个方面分别制定安全检查表。制定安全评价检查表的主要依据为国家、行业标准。企业内部标准。

  (3)实施检查和调查。严格按照确定的抽样单元,使用事先制定的安全检查表,对受评价单位进行现场的安全检查。对评价发现的问题,与现场岗位职工、逐级管理人员、专业技术人员进行交流,分析查找管理缺陷。

  (4)定量打分,提出改进意见。现场检查和调查结束后。根据具体的现场问题,纳入到对应的安全检查表,分析问题的性质、严重程度等因素,进行定量打分,最终以“人、物、环”

  3个方面的平均数作为各单项的得分,然后按照既定的公式计算出现场受控程度和人员行为规范程度。

  针对评价发现的管理缺陷,向受评价单位下发管理不符合项清单,并提出针对性的改进建议,要求受评价单位限期整改反馈。

  (5)跟踪检查。在一定时间后,对受评价单位现场的不符合项整改情况、对管理缺陷的整改情况进行检查核实。对存在的问题采取纠偏措施,构成一个完整的闭环。

  3实施安全评价的效果

  该公司从猢3年在内部实施安全评价后,到2008年的伤害数据如图2所示。

 

  事故总数明显下降,发展趋势坚实可靠。到20憾年,该公司百万工时损失工作日这一指标,已经成为全国钢铁企业中的佼佼者。

  4结论

  在钢铁企业开展针对性强的内部安全评价,能够切实推进企业安全管理的进步,提高安全受控程度,提高人员行为规范水平,有效控制伤害事故的发生。

【责任编辑:程华】
二维码
四川成化安全咨询评估有限公司 电话:028-86522278 86522212 传真:028-86522227 邮箱:chenghua_ap@163.com 地址:成都市青羊区上池北街2号农资大厦11楼
版权所有 © 四川成化安全咨询评估有限公司 all rights reserved    蜀ICP备14023622号-1    川公网安备 51010402000785号  XML地图