四川成化安全咨询评估有限公司
安评知识
安评知识 您的位置:主页>安评知识>安评知识
建筑工程施工安全事故的模糊综合评价方法
安全文化网 2009-05-15 返回列表

  摘要:通过对建筑工程施工事故案例进行定性分析,总结出事故的直接原因和间接原因。在此基础上,建立建筑工程施工安全事故评价指标体系。建立模糊综合评价模型,采用升柯西分布、对称柯西分布和降柯西分布三种隶属函数,对建筑工程施工安全事故进行分析与评价。通过实证分析的方法进行实例检验与应用,结果表明运用模糊综合评价方法评价和预防建筑工程施工安全事故是有效和可行的。

  关键词:安全事故;评价指标;隶属函数;模糊综合评价

  1 引言

  建筑工程项目由于投资大、参与主体多、组织关系复杂,在实施的过程中不确定因素很多。在建筑工程项目建设的过程中施工安全事故出现的几率很大,要保证项目能按预期的目标安全可靠地运行,使参与各方获得各自的预期回报,对施工阶段的事故安全分析显得非常重要。本文结合模糊综合评价方法对建筑工程施工安全事故评价进行了研究。

  2 建立建筑工程施工安全事故评价指标体系

  根据收集的坍塌事故、高处坠落事故、物体打击事故、基础施工事故、触电事故、起重事故等工程事故案例,在充分分析事故发生直接原因和间接原因的基础上,按主、客观因素初步建立评价的指标体系[1]。

  根据建筑工程施工安全事故评价指标的特点,将指标体系分为两大类:一类是反映建筑工程施工时的客观因素,因为该类指标相对固定,称为静态指标。包括环境复杂和不可抗力两个指标。另一类指标是与建筑工程施工事故发生率密切相关的指标,即随着施工现场的事故风险率的变化,各个指标值的权重会随之发生变化,称该类指标为动态指标。包括地质勘探、设计因素、施工工艺、安全管理、工人操作、设备质量以及政府主管部门监督七个指标。

  根据事故发生原因的数理统计分析,调整评价指标体系,删除某些次要指标,确定最终的评价指标。如图1所示。

 

  3 建筑工程施工事故安全的模糊综合评价

  3.1模糊综合评价的步骤[2]

  (1)建立评价因素集。因素集是影响评价对象的各种元素的一个普通集合。

 

  (2)建立评价集。评价集是评价者对评价对象可能作出的各种评价结果组成的集合。

 

  (3)找出评价矩阵。

 

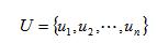
  (4)建立因素权重集。由于各个因素的重要程度不同,为了反映各因素的重要程度,对各个因素应给予一个相应的权数ai,建立权重集如下:

 

  (5)模糊综合评判。单因素模糊评判,仅反映了一个因素对评判对象的影响,这显然是不全面的,要得出正确的评判结果,就要综合所有因素的影响,这就是综合评判。

 

  (6)由模糊综合评判指标bj对评判指标作出综合评判结论。按照最小—最大法则来运算,即

 

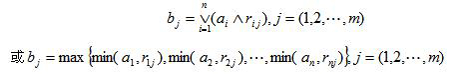
  3.2确定隶属函数

  应用模糊数学方法的关键在于建立符合实际的隶属函数,本文采用指派方法确定隶属函数[3]。

 

 

  3.3实例分析

  3.3.1对已完工施工项目进行安全事故评价

  本事故是一起卷扬提升机吊篮坠落致人死亡事故,事故的直接原因是吊篮突然从高空坠落,乘坐吊篮的施工人员无法脱身而坠落死亡。事故的间接原因有三个:施工工艺存在缺陷、操作不当、安全管理不善。

  根据事故发生的间接原因,首先由专家对每个评价指标按照其优劣程度进行打分,满分为100分。如表1所示。

指标

分值

安全管理

施工工艺

工人操作

工程设计

设备质量

地质勘查

专家打分

45

45

45

80

90

70

  根据3.2所确定的隶属函数以及表1的评分值,确定每一个评价指标相对于三个评价等级好、中和差的隶属度。

  模糊关系矩阵为:

 

  评价指标权重集为:

 

  计算模糊综合评判指标B:

 

  按照最大原则取0.086对应的安全状况隶属区间为“中差”,因此判断该工程的风险等级为高,属于危险状态,很有可能发生事故。而本案例确实发生了事故,这证明对建筑工程施工安全事故评价采用模糊综合评价方法是可行的。

  3.3.2对某拟建工程项目进行安全事故预防

  首先由专家对拟建工程项目的每个评价指标按照其优劣程度进行打分,满分为100分。如表2所示。

指标

分值

安全管理

施工工艺

工人操作

工程设计

设备质量

地质勘查

专家打分

90

90

90

85

90

80

  根据3.2所确定的隶属函数以及上表的评分值,确定每一个评价指标相对于三个评价等级好、中和差的隶属度。

  模糊关系矩阵为:

 

  评价指标权重集为:

 


  计算模糊综合评判指标B。

 

  按照最大原则取0.251对应的安全状况隶属区间为“好”,因此判断此工程的风险等级为低,属于安全状态,发生事故的可能性小。

  通过对隶属度矩阵的研究,按照隶属度最大原则,可以得出各个评价指标的隶属区间,找出哪些指标处于较好的区间,哪些指标处于较差的区间,从而对拟建工程项目影响安全的各个指标因素进行预防与控制。

   是对安全管理这个指标进行评价的结果,依据隶属度最大原则可以看出,0.2为其中的最大值,而0.2对应的评价集元素为中,因此上述安全管理指标为“中”。同理,可以得出施工工艺指标为“好”,工人操作指标为“中”,设计因素指标为“中”,设备质量指标为“好”,地质勘查指标为“中”,因此应该在安全管理水平、工人操作水平、设计水平,地质勘查水平这些方面进行提高与改善,以预防事故发生。

  4 结论

  本文在对建筑工程施工安全事故案例进行统计分析的基础上,建立了事故评价指标体系,运用模糊综合评价方法对施工安全事故进行分析研究,并结合实例进行计算及验证。得出结论如下:

  (1)安全管理、施工工艺、工人操作、工程设计、设备质量、工程地质勘查等指标是衡量建筑工程施工安全事故风险值高低的主要指标。

  (2)通过模糊综合评价方法的计算及验证,证实该方法用于安全事故评价以及预防安全事故发生是切实可行的。

  但是,由于数理统计样本容量的限制,以及时间因素的影响,本文确定的评价指标并不是完全适用的,应该根据工程实际以及社会发展的状况进行必要的调整和修正。

【责任编辑:程华】
二维码
四川成化安全咨询评估有限公司 电话:028-86522278 86522212 传真:028-86522227 邮箱:chenghua_ap@163.com 地址:成都市青羊区上池北街2号农资大厦11楼
版权所有 © 四川成化安全咨询评估有限公司 all rights reserved    蜀ICP备14023622号-1    川公网安备 51010402000785号  XML地图