四川成化安全咨询评估有限公司
安评知识
安评知识 您的位置:主页>安评知识>安评知识
矿井通风安全性评价决策系统研究
安全文化网 2009-05-14 返回列表

  摘要:针对矿井通风系统安全状况难以评价问题,建立了基于信息熵的矿井通风系统安全性评价模型,采用Visual Basic语言,运用面向对象的程序设计方法,并编制了矿井通风系统评价软件,该评价模型可作为煤矿企业安全管理信息系统的子模块单独使用。

  关键词:通风系统;指标体系;信息熵;软件开发

  0 引 言

  煤炭自燃、瓦斯、粉尘、有害气体等是引起煤矿事故频发的主要原因,这些灾害事故所占煤矿事故比例较高,危害较大,究其原因可能是矿井通风系统不完善,通风管理制度不健全,通风设施安设不合理等多方面原因造成的,因此,在事故发生前及时准确地对矿井通风系统做出科学合理的评价,发现存在的事故隐患并解决它,以抑制事故的发生就成为防范的关键。以往对矿井通风系统的评价大多采用安全检查表和专家打分法,安全检查表属于定性评价,不能对整个系统的安全性给出确定的结果,专家打分法虽然属于定量评价,但专家各自的权重很难确定,操作起来也较为困难。本文提出的基于信息熵的评价法,指标权重由系统的熵值确定,非常适用于评价类似于矿井通风系统这种动态的、模糊的、随机的、复杂的庞大系统。矿井通风系统是由通风动力及其装置、通风井巷网络、风流监测与控制设施等组成。其任务是利用通风动力,以最经济的方式,向井下各用风地点提供优质量足的新鲜空气,以保证井下作业人员的生存、安全和改善劳动环境的需要;在发生灾变时,能

  有效、及时地控制风向及风量,并配合其它措施,防止灾害的扩大。评价矿井通风系统安全性的目的在于及时发现矿井通风系统中存在的问题和安全隐患,调整和改造系统;优化通风设计,准确编制事故预防与处理方案,同时,指导现场通风安全管理。

  1矿井通风系统评价指标体系

  1.1 指标体系的建立

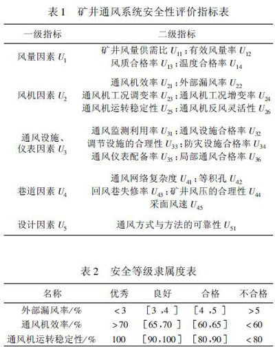
  根据矿井通风系统的内涵与所涉及的范围,可以从许多不同的侧面提出反映该系统安全可靠性的指标。本文在大量调研、文献检索、统计分析和经验总结的基础上,提出了影响矿井通风系统安全性的主要因素指标集,共5大类,22个小项,。上述指标均为定量指标,可通过具体的公式获得。

  1.2指标隶属度的确定

  上述22项评价指标中,风质合格率、温度合格率、通风机反风灵活性& 项指标具有一票否决权,即只要不满足就判定为通风系统不合格矿井,其余19项指标根据《煤矿安全规程》和煤矿生产实践确定其隶属度,如外部漏风率、通风机效率和通风机运转稳定性隶属度分别如表1、表2所示。

 

  2 评价模型的建立及求解

  信息熵是系统紊乱程度的测度。如果一个系统处于随机、混乱、无秩序状态,则此系统的信息熵就很大。反之,一个系统的信息熵就很小。因此,可以把信息熵引申为描述事物集合中一些相互关系的量度,即无序与有序、随机性与确定性、散漫性与组织性、杂乱无章性与规则性以及多样性与简明性等相互对立关系的度量。为此,我们可以把信息熵的概

  念应用于安全领域的研究。

  在矿井通风系统正常运作过程中,系统的各个部分都以一定的组织性、多样性处于一定的稳定状态,并通过各部分相互作用、相互调节,保持系统的稳定。因此,对于通风系统相应地有一个描述它稳定的多样性和组织性的信息熵值。当系统发生变化或其它异常现象时,系统的状态将发生变化,信息熵将增加或减少。由此,我们可以判断系统的安全性能是趋向恶化,还是趋向好转。该模型的具体建立过程如下:

  (1)将上述22项指标中除风质合格率、温度合格率、通风机反风灵活性$ 项指标外的其它指标按隶属度构造数列aij,即:

 

  另外根据待评价矿井各个指标的计算结果建立一组参评数据序列,记为:

  3. 评价软件系统研究

  本软件采用上面提出的评价模型,利用Visual Basic6.0 强大的数据管理分析功能,并结合MAT-LAB灵活的矩阵计算和图形生成功能,使软件能自动完成危险辨识、危险评价计算、危险后果预测及提出安全对策措施的全过程。

 
 
 

  本系统设计以《煤矿安全规程》所规定的数据以及煤矿安全管理人员的有关统计数据为基础,建立矿井通风基础数据信息库,以该信息库为数据提取源,以数据计算和结果显示为目的,设计数据录入和结果输出界面,使系统成为一个以实现安全评价功能为核心,辅以决策建议、信息查询、结果统计等一系列附加功能的应用软件。

  4. 结论

  本文采用的矿井通风系统评价方法和开发的安全评价软件,通过实际应用,收到了较好的效果,从而有利于提高煤矿安全技术水平,值得普遍推广应用。

【责任编辑:程华】
二维码
四川成化安全咨询评估有限公司 电话:028-86522278 86522212 传真:028-86522227 邮箱:chenghua_ap@163.com 地址:成都市青羊区上池北街2号农资大厦11楼
版权所有 © 四川成化安全咨询评估有限公司 all rights reserved    蜀ICP备14023622号-1    川公网安备 51010402000785号  XML地图